ABSTRACT:
The new analogue 2,4-disubsituted thiazole compounds and their anti-cancer and antioxidant activities in vitro were reported in our previous article. Some compounds of thiazole derivatives indicated the highest inhibition against cancer cell lines including human lung epithelial cell lines (A549) and colon cancer cell line (HT29) among thiazole derivatives, which continuously conducted in silico docking model. The results of in silico docking model indicated that the compound, 3i performed well docking than 3h, and 3b. The compound 3i performed the interactions with residual of active sites of DNA of human lung cancer cell line in hydrophobic media than 3h and 3b. The interactions from active sites of DNA of cancer cell lines bound to carbazole, thiazole, phenyl rings, which were without interactions with one functional group on phenyl ring.
Key words: In silico docking model, anti-cancer, carbazole, 1,3-thiazole.
1. Introduction
Heterocyclic compounds are of outstanding importance as pharmaceuticals, agrochemicals, fine and bulk chemicals, and ligands for catalysis [1-2].Thiazole-containing compounds have been successfully developed as possible inhibitors of several biological targets, including enzyme-linked receptor(s) located on the cell membrane, (i.e., polymerase inhibitors) and the cell cycle (i.e., microtubular inhibitors). Moreover, these compounds have been provided to exhibit high effectiveness, the potent anticancer activity, and less toxicity and therapeutic targets for cancer therapy [3-4]. The significant activities of this group were reported in literatures as antimicrobial, anticancer, antiretroviral, antifungal, anticonvulsant, antimalarial, antihistaminic, antituberculosis, and in recent times for pain relief [5-6].The methods of synthesis thiazole derivatives were performed in many articles and easy perform [7-9]. These bioactivities of thiazole were the best well known, but the model of QSAR to explain for active compounds did not performed much more. The automated Docking using a Lamarckian Genetic Algorithm and an Empirical Binding Free Energy Function predicted the bound conformations of flexible ligands to macromolecular targets has been developed and tested, in combination with a new scoring function that estimated the free energy change upon binding [10-17]. This method applied successfully to explain high bioactive compounds [5],[13],[18-20]. As interesting in anticancer activity of nucleolus thiazoles, one docking model in silico docking was conducted to explain, why the 1,3-thiazole derivatives which indicated the potential inhibition against human cancer cell lines in vitro.
2. Materials and methods
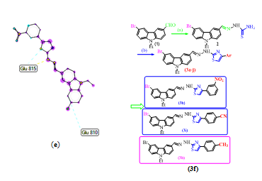
The analogue 1,3-thizole compounds, which based on carbazole were synthesized, screen bioactivities and reported in our previous article[21]. In silico docking model was investigated based Figure 1. The target compounds, 3b, 3h and 3i which synthesized in previous article and showed the highest anti-cancer in vitro[21] were continuously conducted the molecular docking studies. The Auto Dock Tools–1.5.6rc3 package was performed for dockings of one ligand to one receptor. The crystal structures of receptors like human lung cancer cell line (4ASD: PDB, 2.03 Å, and doi.org/10.2210/pdb4ASD/pdb), and colon cancer cell line (2HQ6: PDB, 1.75 Å, and doi.org/10.2210/pdb2HQ6/pdb) were received from the Protein data bank and validate. In the calculation processing of dockings, the receptors were conducted to delete small molecules like water molecules, small ligands, and heteroatoms and saved the crystal structures in format files (receptor.pdb), which were done by Discovery Studio 2019 Client (DSC) package. For ligands, they were optimized by the Molecular Mechanics & Force Fields (MMFF94) method, which was performed by the Avogadro package. The optimal conformation of ligand was selected for docking calculation. AutoDock 4.2 package was used to calculate the target (receptor) and ligand (synthesis compounds, entries)[12],[15], [17]. For target preparation, the polar hydrogen and Kollman charge were added at all atoms. In the case of a ligand, it was added all polar hydrogens, computed Gasteiger charges, merged non-polar hydrogens, and saved in pdbqt format. The grid point spacing, the number of user-specified grid points, and coordinates of the central grid point of maps have installed the values of 0.375Å, (60 x 60 x 60) or (120x120x120) and (X=–38.324, Y=10.387, Z= 94.100), respectively, which can change parameters in every time of calculation. A ligand was docked to a receptor by a Lamarckian genetic algorithm method. The maximum negative value of free energy of binding was selected corresponding to the most stable conformation after 2500000 energy evaluations and run 200 times for dockings of the human cancer cell lines. Discovery Studio and Molegro (MMV) packages were used to visualize and present the results in the forms of tables and figures.
![]()
3. Results and Discussions
As shown in Table 1, For 3i ligand, the most stable conformation of 3i bound to active sites of receptor of human lung cancer cell line, 4ASD with the value of the lowest Gibbs energy of -10,44 Kcal/mol. This proved that 3i conformation linked strongly to DNA of ca, pi-pi T-shaped cell line, 4ADS. The value of inhibition constant calculated 0.022 μM that was based on the express of (1). The conformation of 3i had without hydrogen bonding with active site of 4ADS. As shown in Figure 2a, the most stable conformation of 3i ligand immersed in DNA of 4ASD after implementation of calculation. As indicated in Figure 2b, the amino acids of 4ASD made around the 3i conformation ligand in the range of 4Å. As shown in Figure 2c, the most interactions between 3i and 4ASD were presented such as Vander Waals, convectional hydrogen bond, carbon hydrogen bond, sulfur-X, pi anion, pi-sigma, pi-pi T-shaped, alkyl, pi-alkyl. One an important hydrophilic interaction formed from Asp 1046 of A chain to atomic sulfur of thiazole ring. Another hydrophilic interaction linked from Asp 1046 to pi bonds of aromatic ring of carbazole. These hydrophilic interactions determined the solubility of drug – 3i in polar solvents. The significant hydrophobic interactions conducted from hydrophobic amino acids of A chain to 3i. one pi-pi T shaped interaction bound from Phe 1047 to the pi conjugation system of thiazole ring. The pi-sigma interactions started from Leu 1035, Cys 1045 and Leu 889 to aromatic rings and benzene ring. The others hydrophobic bonds were alkyl, and pi-alkyl. The hydrophobic interactions were relative to ability of 3i in non- polar solvents. As shown in Figure 2d, a ligand map determined hydrogen, electrostatic, steric, and overlap interactions of amino acid chain of DNA to ligand 3i. in this case, five steric interactions linked from amino acids such as Asp 814, Asp 1046, Glu 917, Phe 918, and Val 899 to atoms of ligand 3i. The Van der Waals radius of atoms controlled the strength of overlap interactions and participants of steric hindrance in Figure 2d. The most stable conformation, 3h interacted with the DNA of 4ASD with the value of free energy of -6.14 Kcal/mol which compared with the value of 3i conformation indicated that 3i was linked strongly than 3h against lung cancer cell line. To compare of the values of Ki and IC50 of two conformations, 3i and 3h against lung cancer cell line was compatible between calculations and results in vitro. As shown in Table 1, one hydrogen bond bound from atomic hydrogen of N-H group to atomic oxygen of Glu 815 of A chain with bound length of 2.45 Å. It denoted (3h):H - A:Glu 815:O. The interaction profiles of 3i with 4ASD were presented in Figure 3a-e. The most stable conformation of 3h was embed in DNA of cancer cell line, 4ADS after completion of docking calculation. The amino acids at active site around ligand were showed in Figure 3b. The important interactions between the most stable conformation of 3h and 4ASD indicated in a 2D diagram. One hydrogen bond linked from amino acid of Glu 815 to hydrogen atom of N-H bonding, which was hydrophilic. The pi- anion interactions, which conducted from Glu 810 to conjugation pi systems of carbazole ring were hydrophilic bonds. One carbon hydrogen bond performed from Arg 1080 to NO2 group was strong hydrophilic bond. All most interactions between active sites of residual amino acid of chain A, which bound to 3h ligand was more hydrophilic property than that of 3i to the same cancer cell line. The interactions profiles of the most stable 3b ligand to DNA of human colon cancer cell line, H2Q6 showed in Figure 4a-d. Without hydrogen bond formed between residual amino acid of A chain to 3b conformation ligand. The most significant interactions from active sites of residual amino acids such as Asp 106, Arg 56, and Glu 153 bound to pi conjugation systems of thiazole, benzene and carbazole, which hydrophilic character. These interactions were named pi-cation, and pi-anion. Other interactions such as amide-pi stacked and pi alkyl from Ala 102, and Ala 104 linked to pi system of carbazole rings were the hydrophilic bonds. The ligand map as shown in 4d indicated four steric interactions from residual amino acids of H2Q6 cell line such as Asp 152, Gln 112, Ser 111, and Ala 102 to atoms of 3b conformation ligand.
![]()
Figure.2. (a). The best conformation of (3i) was docked with active sites of lung cancer cell line, 4ASD; (b). The amino acids of lung cancer cell line, 4ASD around the best conformation of (3i); (c). The most significant integrations between the best conformation of ligand 3i and DNA of human lung cancer cell line, A549, code 4ASD on 2D diagram; and (d). Ligand map indicated the important interactions such as hydrogen bond, steric, electrostatic and overlap integrations between the most stable conformation of ligand 3i and receptor of human lung cancer cell line, A549, code 4ASD.
Table 1. The docking poses of entries 3h, 3i and 3b to active sites of a receptor of human lung cancer (4ADS) and colon cancer cell line (2HQ6)
|
Entry |
[a] (Kcal/mol) |
Ki[a] (μM) |
IC50 value[b] (μM) |
The number of hydrogen bond [a] |
Property and bond length[a] |
Cancer cell line |
|
3i |
-10.44 |
0.022 |
8.5 |
0 |
- |
4ADS |
|
3h |
-6.14 |
31.48 |
9.7 |
1 |
(3h):H - A:GLU815:O (2.45 Å) |
4ADS |
|
3b |
-7.26 |
4.74 |
7.8 |
0 |
- |
2HQ6 |
|
Drug[c] |
-8.90 |
0.298 |
0.58±0.17 |
3 |
C:Ser433:O–Drug:N (2.80) D:Phe461:N–Drug:O(3.12) D:Leu462:N–Drug:O (2.74) |
4ADS |
[a]. The values performed from AutoDockTools-1.5.6rc3. [b]. The values in vitro were reported in a previous article[21]. [c]. The standard drug was Camptothecin. (The Gibb energies, the inhibition constants, the number of hydrogen bond, and the property and bond lengths as shown in Table 1 were calculated by AutoDockTools-1.5.6rc3 and Discovery Studio 2019 Client package. The IC50 values were reported in previous article [21]. The Crystal structure of cancer cell lines, 4ADS, 2HQ6 were download from protein data bank, https://www.rcsb.org/structure/4ADS).
![]()
Figure.3. (a). The best conformation of 3h was docked with active sites of lung cancer cell line, 4ASD; (b). The amino acids of lung cancer cell line, 4ASD around the best conformation of 3h; (c). The most significant integrations between the best conformation of ligand 3h with DNA of human lung cancer cell line, A549, code 4ASD on 2D diagram; The hydrogen bond was formed between one amino acid, Glu815 of 4ADS and 3h; (e). Ligand map indicated important interactions such as hydrogen bond, steric, electrostatic and overlap integrations between the most stable conformation of ligand 3h and receptor of human lung cancer cell line, A549, code 4ASD; and (3f). (a): Thiosemicarbazone/EtOH, reflux, 5h, 90%, (b): the analogue α-bromoketone/EtOH, reflux, 3-5h, 70-90%.
Figure.4. (a). The best conformation of 3b was docked with active sites of human colon cell line, H2Q6; (b). The amino acids of human colon cancer cell line, H2Q6 around the best conformation of 3b; (c). The most significant integrations between the best conformation of ligand 3b with DNA of human colon cancer cell line, code H2Q6 on the 2D diagram; and (d). Ligand map indicated the important interactions such as hydrogen bond, steric, electrostatic, and overlap integrations between the most stable conformation of ligand 3b and receptor of human colon cancer cell line, HT29, code H2Q6.
4. Conclusions
In silico docking model indicated the ability docking of 3i to human lung cancer cell performed strongly than 3h ligand. The 3i conformation ligand bound to hydrophobic residual amino acids of human cancer cell line more than 3h and 3b. The docking calculations exposed the results of Ki calculation and IC50 in vitro were compatible. The functional groups on phenyl ring of thiazole compounds such as 3i, 3h and 3b rings had without amino acids of DNA of cancer cell lines or less interactions.
REFERENCES:
[1] A. C. Gaumont, M. Gulea, and J. Levillain, ‘Overview of the chemistry of 2-thiazolines’, Chem. Rev., vol. 109, No. 3, pp. 1371-1401, 2009.
[2] Y. Hu, C. Li, X. Wang, Y. Yang, and H. Zhu, ‘Medicinal , Agricultural , and Materials Chemistry’, Chem. Rev., vol. 114, pp. 5572-5610, 2014.
[3] P. C. Sharma, K. K. Bansal, A. Sharma, D. Sharma, and A. Deep, ‘Thiazole-containing compounds as therapeutic targets for cancer therapy’, Eur. J. Med. Chem., vol. 188, p. 112016, 2020.
[4] L. R. P. de Siqueira, P. A. T. de Moraes Gomes, L. P. de Lima Ferreira, M. J. B. de Melo Rêgo, and A. C. L. Leite, ‘Multi-target compounds acting in cancer progression: Focus on thiosemicarbazone, thiazole and thiazolidinone analogues’, Eur. J. Med. Chem., vol. 170, pp. 237-260, 2019.
[5] A. S. Hossan, ‘Synthesis, modelling and molecular docking of new 5-arylazo-2-chloroacetamido thiazole derivatives as antioxidant agent’, J. Mol. Struct., vol. 1206, p. 127712, 2020.
[6] M. Hublikar et al., ‘( E ) - 2 - ( 2 - Allylidenehydrazinyl) thiazole derivatives: Design , green synthesis , in silico and in vitro antimycobacterial and radical scavenging studies’, no. January, pp. 1-12, 2020.
[7] M. A. Tran Nguyen Minh An, Nguyen Van Cuong, Nguyen Minh Quang, Truong Vu Thanh, ‘New Carbazole Based on α -Aminophosphonate’, Chemselect, vol. 5, no. 21, pp. 6339-6349, 2020.
[8] T. N. M. An., ‘Synthesis, Docking Study, Cytotoxicity, Antioxidant, and Anti-microbial Activities of Novel 2,4-Disubstituted Thiazoles Based on Phenothiazine’, Curr. Org. Synth., vol. 17, no. 2, pp. 151-159, 2019.
[9] T. N. M. An et al., ‘Synthesis, Physical Chemistry, Molecular Docking, Bioactivities and Antioxidant Activity of α-Amino Phosphonates Based on Phenothiazine Using PEG-400 as Green Catalyst’, ChemistrySelect, vol. 4, no. 31, pp. 8915-8920, 2019.
[10] G.M. Morris, D.S. Goodsell, R.S. Halliday, R. Huey, W. E. Hart, A.J. OLSON, R. K. Belew, ‘Chemical modulation of agonistic display in Betta splendens’, J. Comput. Chem., vol. 90, no. 2, pp. 198-202, 1998.
[11] N. London et al., ‘Covalent docking predicts substrates for haloalkanoate dehalogenase superfamily phosphatases’, Biochemistry, vol. 54, no. 2, pp. 528–537, 2015.
[12] S. Edition, ‘Neuro-proteomics’, vol. 1598, pp. 391-403, 2016.
[13] N. Uwabagira, B. K. Sarojini, M. K. Shankar, and R. S. Gani, ‘Potent pharmacophoric aminothiazole derivatives as FabH inhibitors for antibacterial activity: in vitro and in silico approach’, SN Appl. Sci., vol. 1, no. 11, 2019.
[14] G. Brancolini, D. B. Kokh, L. Calzolai, R. C. Wade, and S. Corni, ‘Docking of ubiquitin to gold nanoparticles’, ACS Nano, vol. 6, no. 11, pp. 9863–9878, 2012.
[15] R. Huey, G. M. Morris, and S. Forli, ‘Using autodock 4 and autodock vina with autodocktools : a tutorial’, 2012.
[16] G. L. Warren et al., ‘A critical assessment of docking programs and scoring functions’, J. Med. Chem., vol. 49, no. 20, pp. 5912-5931, 2006.
[17] Garrett M. Morris, ‘AutoDock Version 4.2 - User Guide’, Guide, pp. 1-49, 2010.
[18] M. Sudileti, S. Nagaripati, M. Gundluru, and V. Chintha, ‘rGO-SO 3 H Catalysed Green Synthesis of Fluoro-Substituted Aminomethylene Bisphosphonates and their Anti-cancer , Molecular Docking studies’, pp. 13006-13011, 2019.
[19] S. M. Gomha, T. A. Salaheldin, H. M. E. Hassaneen, H. M. Abdel-Aziz, and M. A. Khedr, ‘Synthesis, characterization and molecular docking of novel bioactive thiazolyl-thiazole derivatives as promising cytotoxic antitumor drug’, Molecules, vol. 21, no. 1, pp. 1-17, 2016.
[20] N. T. Nguyen, P. H. Dang, N. X. T. Vu, T. H. Le, and M. T. T. Nguyen, ‘Quinoliniumolate and 2 H - 1 , 2 , 3-Triazole Derivatives from the Stems of Paramignya trimera and Their $α$ - Glucosidase Inhibitory Activities : In Vitro and in Silico Studies’, 2017.
[21] T. N. Minh An, M. A. Kumar, S. H. Chang, M. Y. Kim, J. A. Kim, and K. D. Lee, ‘Synthesis, anticancer and antioxidant activity of novel 2,4-disubstituted thiazoles’, Bull. Korean Chem. Soc., vol. 35, no. 6, pp. 1619-1624, 2014.
Phương pháp in silico mô phỏng phân tử docking, Phát hiện các chất tương tự dẫn xuất carbazole của 1,3-thiazole có tính kháng ung thư
Trần Nguyễn Minh Ân
Khoa Công nghệ Hóa học, Đại học Công nghiệp Thành phố Hồ Chí Minh
ThS. Nguyễn Văn Thời
Trường THPT Chuyên Bến Tre
GS.TS. Lê Văn Tán
Khoa Công nghệ Hóa học, Đại học Công nghiệp Thành phố Hồ Chí Minh
TÓM TẮT:
Các dẫn xuất 1,3-thiazole mang nhóm thế ở vị trí 2,4 được tổng hợp, tiến hành thử nghiệm hoạt tính kháng tế bào ung thư và kháng oxi hóa trong vitro đã được công bố trong bài báo trước của cúng tôi. Một số dẫn xuất cho thấy khả năng ức chế mạnh nhất đối với các dòng tế bào ung thư, phổi (A549) và trực tràng (HT29) ở người được chúng tôi chọn lọc và tiếp tục nghiên cứu theo mô hình tính toán in silico docking. Kết quả tính toán cho thấy, các hợp chất 3i docking tốt hơn 3h và 3b với tế bào ung thư. Hợp chất 3i tương tác với các tâm hoạt động của ADN của dòng tế bào ung thư phổi trong môi trường kỵ nước tốt hơn 3h và 3b. Các tương tác từ các vị trí hoạt động của AND của dòng tế bào ung thư chỉ tương tác mạnh với vòng carbazole, thiazole mà không có tương tác với một nhóm thế trên vòng phenyl.
Từ khóa: Phương pháp in silico docking, kháng tế bào ung thư, carbazole, 1,3-thiazole.
[Tạp chí Công Thương - Các kết quả nghiên cứu khoa học và ứng dụng công nghệ, Số 28, tháng 11 năm 2020]
