Tóm tắt
Giám sát ô nhiễm môi trường và kiểm soát vệ sinh an toàn thực phẩm ngày càng được quan tâm trên thế giới. Để đáp ứng được nhu cầu ngày càng cao đối với các chất chuẩn nhằm duy trì liên kết chuẩn cho thiết bị phân tích, đảm bảo tính chính xác cao nhất của kết quả phân tích cũng như tính đồng nhất, tương đương giữa các kết quả phân tích của các loại thiết bị phân tích thành phần, chất lượng khác nhau. Viện Đo lường Việt Nam đã tăng cường công tác chế tạo và chứng nhận chất chuẩn nhằm nâng cao độ tin cậy đo lường của kết quả trong phân tích thành phần dư lượng kim loại nặng. Trong bài báo này, việc nghiên cứu xác định giá trị nồng độ đặc trưng của dung dịch chuẩn đơn các kim loại (Cu, Pb, Cd, Ni, Zn) chế tạo được bằng phương pháp chuẩn độ tạo phức EDTA đã được thảo luận.
Từ khóa: chất chuẩn, dung dịch chuẩn kim loại, chuẩn độ.
1. Đặt vấn đề
Trong những năm gần đây, cùng với sự phát triển mạnh mẽ của các lĩnh vực phân tích môi trường, an toàn thực phẩm, y tế và công nghiệp, nhu cầu sử dụng các dung dịch chuẩn kim loại có độ chính xác cao ngày càng gia tăng. Các dung dịch chuẩn kim loại đóng vai trò then chốt trong việc hiệu chuẩn thiết bị phân tích, kiểm soát chất lượng phép đo, đánh giá phương pháp và đảm bảo tính liên kết chuẩn của kết quả đo đến Hệ đơn vị Quốc tế (SI) tại các phòng thí nghiệm phân tích môi trường và thực phẩm [1].
Để đảm bảo đo lường trong kiểm soát dư lượng kim loại nặng trong môi trường và thực phẩm, các Viện Đo lường trên thế giới ngày phát triển, mở rộng năng lực, khả năng tự chủ trong việc chế tạo chất chuẩn nói chung và dung dịch chuẩn kim loại nói riêng. Như tại khu vực châu Á, các nước phát triển rất mạnh trong lĩnh vực này như: Trung Quốc, Nhật Bản, Hàn Quốc đã tự chủ trong việc chế tạo được hầu hết các dung dịch chuẩn kim loại với độ chính xác cao và có khả năng đáp ứng được nhu cầu trong nước và xuất khẩu sang các nước có nhu cầu. Ngoài ra, đối với các nước khác chỉ có thể tự chủ được một phần (như Thái Lan, Malaysia,...) hoặc nhập khẩu hoàn toàn (như Việt Nam,...). Viện Nghiên cứu Chuẩn và Khoa học Hàn Quốc (KRISS) đã chế tạo thành công 35 loại dung dịch chuẩn kim loại với nồng độ 1000 mg/kg và độ không đảm bảo đo U ≤ 0,5%) [2]. Viện Đo lường quốc gia Nhật Bản (NMIJ) sở hữu danh mục hơn 30 dung dịch chuẩn kim loại tương tự [3]. Viện Đo lường quốc gia Trung Quốc (NIM) cũng cung cấp 33 loại dung dịch chuẩn kim loại với dải độ không đảm bảo đo (0,5 - 1,5%), phản ánh sự đa dạng phân khúc phục vụ từ nghiên cứu cao cấp đến kiểm soát công nghiệp đại trà [4]. Ngoài ra, các Viện đo lường khác trong khu vực như Thái Lan, Malaysia,... cũng đẩy mạnh nghiên cứu phát triển.
Tại Việt Nam, hiện chưa có một tổ chức nào trong nước có khả năng nghiên cứu chế tạo được các loại dung dịch chuẩn kim loại độ chính xác cao (˂1%) phục vụ cho đo lường do gặp nhiều khó khăn trong việc tiếp cận các công nghệ chế tạo cũng như chứng nhận các chất chuẩn loại này. Sau quá trình nghiên cứu những năm gần đây trong lĩnh vực chế tạo chất chuẩn, đặc biệt là các dung dịch chuẩn kim loại nhằm phục vụ công tác đo lường, và nhu cầu ngày càng lớn về chất chuẩn trong hầu hết các viện nghiên cứu, trung tâm phân tích môi trường và thực phẩm, trường đại học,... trong nước. Việc chế tạo các chất chuẩn trong nước để thay thế các chất chuẩn ngoại nhập sẽ mang lại tính kinh tế cao, sẽ làm giảm chi phí đáng kế cho các phòng thử nghiệm trong việc đầu tư chi phí cho việc nhập khẩu các loại chất chuẩn cùng loại từ nước ngoài. Trước thực tế đó, Viện Đo lường Việt Nam đã đẩy mạnh nghiên cứu, chế tạo được các dung dịch chuẩn đơn kim loại Cu, Pb, Cd, Ni và Zn với nồng độ danh định 1000 mg/kg, độ không đảm bảo đo ≤ 1% (Độ KĐBĐ: U ≤ 1%) phù hợp theo các yêu cầu của tiêu chuẩn ISO 17034:2016 [5] và ISO 33405:2024 [6].
Bài báo trình bày cách xác định giá trị nồng độ của dung dịch chuẩn đơn các kim loại (Cu, Pb, Cd, Ni, Zn) chế tạo được bằng phương pháp chuẩn độ tạo phức EDTA. Phương pháp chuẩn độ được thừa nhận như một phương pháp chuẩn đầu trong hệ thống đo lường với khả năng tái lặp và độ chính xác cao của các kết quả đo và được sử dụng nhiều trong phân tích định lượng các kim loại có nồng độ cao.
2. Thực nghiệm
Mẫu thử nghiệm: Các mẫu dung dịch chuẩn đơn các kim loại (Cu, Pb, Cd, Ni, Zn) do Viện Đo lường Việt Nam chế tạo với giá trị lý thuyết 1000 mg/kg.
Hóa chất, chất chuẩn: dung dịch chuẩn đơn các kim loại (Cu, Pb, Cd, Ni, Zn) của Viện nghiên cứu Chuẩn và Khoa học Hàn Quốc (KRISS) được sử dụng như một chất chuẩn tham chiếu. Dung dịch chuẩn Y(NO3)3 và Sc của CPA Chem được sử dụng làm chất nội chuẩn. Dung dịch chuẩn độ Titriplex (EDTA) từ Merck. Chất chỉ thị Xylennol Orange Ar (XO) từ Oxford lab, Murexit từ Supelco. Các dung môi: Ammonium chloride, Ammonia, Hexamethylene-tetramine,… được mua từ Thermo Fisher.
Dung dịch chuẩn tham chiếu: Mẫu dung dịch chuẩn hỗn hợp với tỉ lệ (1:1) được chuẩn bị bằng cách trộn lẫn một lượng tương đương giữa dung dịch chuẩn KISS và dung dịch nội chuẩn và lựa chọn cho quá trình xác định nồng độ kim loại cần phân tích trong mẫu.
Phương pháp phân tích: Phương pháp chuẩn độ tạo phức EDTA dựa trên hệ thống chuẩn độ điện thế tự động (DL55, Metter Toledo) được sử dụng trong nghiên cứu này. Chuẩn độ điện thế là phương pháp phân tích dựa trên việc xác định điểm tương đương của phản ứng hóa học thông qua sự biến đổi hiệu điện thế của dung dịch trong quá trình chuẩn độ.
Mẫu cần phân tích được trộn lẫn với một lượng xác định dung dịch nội chuẩn. Sau đó được phân tích bằng hệ thống chuẩn độ điện thế tự động.
Tính toán: Giá trị nồng độ của dung dịch chuẩn cần xác định được tính toán dựa trên giá trị nồng độ của dung dịch chuẩn tham chiếu (KRISS) cùng nguyên tố với thể tích tiêu tốn trong quá trình chuẩn độ của dung dịch chuẩn cần xác định và dung dịch chuẩn tham chiếu.
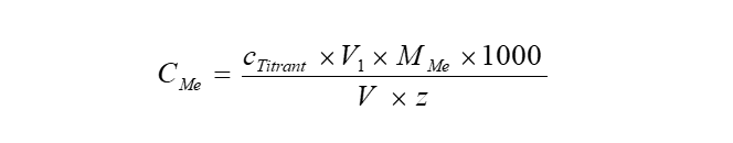
Phương trình tổng thể tính toán nồng độ của một chất phân tích trong phép đo chuẩn độ có thể được viết như sau:
trong đó:
CMe : là nồng độ dung dịch chuẩn kim loại cần xác định, mg/kg
CTitrant: nồng độ của dung dịch chuẩn độ EDTA, mol/kg
V1 : thể tích dung dịch chuẩn độ EDTA tiêu tốn, mL
V : thể tích dung dịch chuẩn kim loại, mL
MMe : là khối lượng nguyên tử kim loại, g/mol
z : là số điện tử trao đổi.
3. Kết quả và thảo luận
Các dung dịch chuẩn đơn các kim loại (Cu, Pb, Cd, Ni, Zn) được chế tạo theo lô (bao gồm 50 lọ/lô/nguyên tố), được đóng gói và bảo quản tại Viện Đo lường Việt Nam. (Hình 1)
![]()
Các mẫu phân tích được lựa chọn theo quy tắc ngẫu nhiên phân tầng với 05 lọ mẫu (các lọ mẫu số 1, 13, 25, 37, 50) trong lô 50 lọ mẫu chế tạo được, để kết quả thu được đảm bảo đại diện cho toàn bộ lô mẫu. Kết quả phân tích của giá trị trung bình nồng độ dung dịch chuẩn đơn các kim loại (Cu, Pb, Cd, Ni, Zn) chế tạo được tổng hợp lại trong Bảng 1.
Bảng 1. Tổng hợp kết quả phân tích giá trị nồng độ của các
dung dịch chuẩn kim loại chế tạo được
|
Dung dịch chuẩn kim loại |
Nồng độ trung bình (C) (mg/kg) |
Độ lệch chuẩn (%tương đối) |
|
Cd |
1001,35 |
0,07% |
|
Cu |
1000,22 |
0,05% |
|
Pb |
996,93 |
0,15% |
|
Ni |
996,65 |
0,08% |
|
Zn |
999,01 |
0,04% |
Độ lệch chuẩn tương đối (%RSD) giữa các lọ mẫu của dung dịch chuẩn đơn các kim loại (Cu, Pb, Cd, Ni, Zn) từ (0,04 ÷ 0,15) %RSD có độ lặp lại rất tốt, từ giá trị thu được cũng có thể đánh giá được độ đồng nhất của lô mẫu chuẩn chế tạo được và nó là yếu tố ảnh hưởng lớn đến độ không đảm bảo đo của mẫu chuẩn.
Độ không đảm bảo đo của một phép đo có thể đánh giá bởi kết hợp tất cả các thành phần không đảm bảo riêng lẻ bao hàm trong quá trình đo. Khi nhiều phép đo được thực hiện đối với cùng một mẫu, giá trị trung bình (C) và độ không đảm bảo đo của nó thường được ấn định cho kết quả phép đo cuối cùng.
Các nguồn đóng góp vào uchar bao gồm:
u₁: Độ không đảm bảo của dung dịch chuẩn độ EDTA (chuẩn hóa theo mẫu CRM dung dịch chuẩn kim loại của Viện nghiên cứu Khoa học và Chuẩn Hàn Quốc_KRISS);
u₂: Độ không đảm bảo của khối lượng mẫu và khối lượng dung dịch chuẩn độ (cân phân tích Mettler Toledo XP205);
u₃: Độ lặp lại của kết quả phép đo qua nhiều lần chuẩn độ.
Các thành phần trên được tổng hợp theo công thức:
Độ không đảm bảo của các giá trị phép đo xác định giá trị nồng độ đặc trưng của mỗi mẫu phân tích được tính toán và liệt kê trong Bảng 2.
Bảng 2. Tổng hợp kết quả độ không đảm bảo đo của phép đo xác định giá trị nồng độ đặc trưng của các dung dịch chuẩn kim loại chế tạo được
|
Dung dịch chuẩn kim loại |
Nồng độ trung bình (C) (mg/kg) |
Độ KĐBĐ do đặc trưng hóa uchar (mg/kg) |
Độ KĐBĐ do mở rộng (k=2, P≈95%) Uchar (mg/kg) |
|
Cd |
1001,35 |
1,71 |
3,42 (0,34 %) |
|
Cu |
1000,22 |
2,94 |
5,88 (0,59 %) |
|
Pb |
996,93 |
2,22 |
4,44 (0,45 %) |
|
Ni |
996,65 |
1,95 |
3,90 (0,39 %) |
|
Zn |
999,01 |
1,72 |
3,44 (0,34 %) |
Độ không đảm bảo đo mở rộng của phép đo xác định giá trị nồng độ đặc trưng (Uchar) của tất cả các dung dịch chuẩn kim loại chế tạo được đều từ (0,34 ÷ 0,59)% thể hiện độ lặp lại tốt của phép đo và là hệ số ảnh hưởng lớn trong độ không đảm bảo đo của các dung dịch chuẩn.
4. Kết luận
Phương pháp chuẩn độ tạo phức EDTA được áp dụng cho phân tích xác định giá trị nồng độ đặc trưng của dung dịch chuẩn đơn các kim loại (Cu, Pb, Cd, Ni, Zn) chế tạo được có độ chính xác cao và độ lặp lại tốt. Phương pháp này hoàn toàn phù hợp sử dụng trong đánh giá xác định nồng độ mẫu trong chế tạo các dung dịch chuẩn đơn kim loại. Các nguyên tắc trong hướng dẫn từ ISO 33405:2024 đã được áp dụng thành công để đánh giá độ không đảm bảo của các kết quả đo trong phép đo chuẩn độ. Các nguồn không đảm bảo tham gia vào độ không đảm bảo đo của kết quả cuối cùng đã được nghiên cứu. Sự biến đổi của các giá trị đo từ phép đo độc lập lặp đi lặp lại là nguồn chính gây ra độ không đảm bảo trong các kết quả cuối cùng.
Tài liệu tham khảo:
Ngô Huy Thành, Phạm Anh Tuấn (2015),“Chất chuẩn: Vai trò và tầm quan trọng trong đo lường hóa học”, Hội nghị đo lường toàn quốc lần VI, p. 63-69.
Korea Research Institute of Standards and Science (2022), “Certified Reference Materials Catalogue”, p. 21-43, https://www.kriss.re.kr/measurement/measurementCRMForm.es?mid=a20402000000
National Metrology Institute of Japan (2025), “CRMs only for National Metrology Institute or Designated Institute”, p. 1-3, https://unit.aist.go.jp/nmij/english/refmate/
National Institute of Metrology, China (2023), “Catalogue of Reference Materials”, p. 91-98; p. 113-116, https://www.ncrm.org.cn/Web/NewsEn/View?id=611
ISO 17034:2016 (2016), “General requirements for the competence of reference material producers”, https://www.iso.org/standard/29357.html
ISO 33405:2024 (2024), “Reference materials - Approaches for characterization and assessment of homogeneity and stability”, https://www.iso.org/standard/84226.html
Determination of Metal ion concentrations in single-element standard solutions (Cu, Pb, Cd, Ni, Zn) using EDTA complexometric titration
Nguyen Truong Chinh1
Pham Anh Tuan1
1Department of Physical and Chemical Measurement - Standard Samples, Vietnam Institute of Metrology
Abstract
Environmental pollution monitoring and food safety control have become global priorities, demanding high levels of accuracy, consistency, and traceability in analytical measurements. To satisfy the increasing need for certified reference standards that ensure metrological traceability and comparability across different analytical instruments, the Vietnam Institute of Metrology has strengthened its activities in the production and certification of reference materials, particularly for the analysis of heavy metal residues. This study presents the determination of characteristic concentration values of single-element standard solutions of copper (Cu), lead (Pb), cadmium (Cd), nickel (Ni), and zinc (Zn), prepared and validated using EDTA complexometric titration. The results contribute to enhancing measurement reliability and supporting quality assurance in environmental and food safety analyses.
Keywords: standard substances, standard metal solutions, titration.
[Tạp chí Công Thương - Các kết quả nghiên cứu khoa học và ứng dụng công nghệ, Số 3 năm 2026]
